Problem S: 【递归】求f(x,n)
Memory Limit:128 MB
Time Limit:1.000 S
Judge Style:Text Compare
Creator:
Submit:39
Solved:35
Description
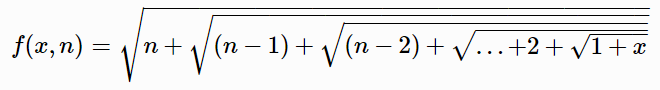
已知
求f(x,n)的值

求f(x,n)的值
Input
输入x和n。
Output
函数值,保留两位小数。
Sample Input Copy
4.2 10
Sample Output Copy
3.68