Problem AJ: 【函数】求组合数

Memory Limit:128 MB Time Limit:1.000 S
Judge Style:Text Compare Creator:
Submit:123 Solved:93

Description

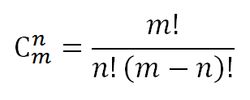
上机练习6.1.2      编程求组合数,(m >n > 0)

                   


Input

一行两个正整数m和n,0<n<m<13 。

Output

组合数C(n,m)。

Sample Input Copy

6 3

Sample Output Copy

20

Source/Category