CZOI
Home
ProblemSet
Source/Category
Contest
Status
Ranklist
F.A.Qs
1481: 计算并联电阻的阻值
Memory Limit:128 MB
Time Limit:1.000 S
Judge Style:Text Compare
Creator:
Submit:52
Solved:41
Submit
Submit Record
Statistics
Web Board
ShowOff!
Description
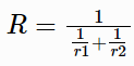
对于阻值为 r1 和 r2 的电阻,其并联电阻阻值公式计算如下:
输入两个电阻阻抗大小,浮点型。输出并联之后的阻抗大小,结果保留小数点后2位。
Input
两个电阻阻抗大小,浮点型,以一个空格分开。
Output
并联之后的阻抗大小,结果保留小数点后2位。
Sample Input
Copy
1 2
Sample Output
Copy
0.67
Source/Category
信息学奥赛一本通
常量和变量
洛谷